有机氯杀虫剂是具有高毒性、难降解及高生物蓄积性的一类典型毒害污染物,这类环境污染物能够通过饮食、呼吸、接触等暴露途径进入到生物体,从而危害生物体健康。
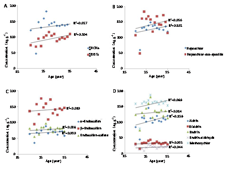
武汉植物园污染生态学学科组硕士研究生朱引娣在王俊研究员的指导下,对女性卵泡液样品中17中常见的有机氯杀虫剂的浓度水平、组分分布及可能的污染来源进行了分类评估。同时该研究也对女性的年龄分布与卵泡液中总有机氯杀虫剂浓度水平进行了统计分析,统计结果显示女性的年龄与总有机氯杀虫剂浓度水平之间没有明显的相关性。
本研究相关成果在环境领域重要期刊Environmental Pollution上正式发表。
17中有机氯杀虫剂的组分分布
主要有机氯杀虫剂含量水平与女性年龄之间的统计分析







