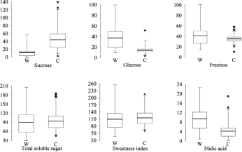
糖、酸是决定果实风味品质的两个核心元素。对364份苹果种质资源的中糖、酸含量HPLC分析表明,苹果果实中可溶性糖组分以果糖和蔗糖为主;有机酸以苹果酸为主,占90%以上。相关性分析表明,果实中葡萄糖的含量与果糖的含量呈显著正相关(R2=0.646,p <0.01),与苹果酸含量呈显著正相关(R2=0.434,p <0.01)。野生苹果果实酸度显著高于栽培苹果,但两者的总糖含量与总甜度差异不大。这表明在苹果驯化过程中果实酸度受到了人工选择,糖含量变化可归结于酸度驯化过程中的一种“搭车效应”。
中国科学院植物种质创新与特色农业重点实验室果树分子育种学科组博士研究生马百全在韩月彭研究员的指导下,检测了苹果资源果实糖、酸组分与含量,发现了苹果糖酸驯化特征,部分成果已在国际期刊“Food Chemistry”上发表。本研究得到973和国家自然科学基金资助,该研究成果为下一步对糖酸性状的关联分析研究奠定了基础。

糖酸组分在野生型及栽培型果实中的分布


